
【リンク】
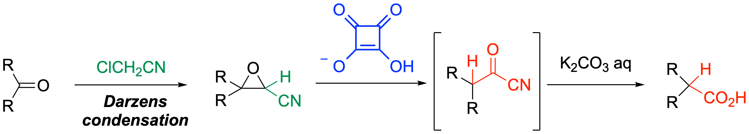
Synthesis of Cyclobuta[cd]pentalenes via an Intramolecular Double Michael Addition Reaction of 1,3-Cyclopentanedione Derivatives
Org. Lett., 2025, 27, 9341-9346. 【リンク】
【PDF】
【PDF】
Solanoeclepin B, a Hatching Factor for Potato Cyst Nematode
Sci. Adv., 2023, 9, eadf4166.
プレスリリース 【リンク】
Scope and Limitations of Absolute Configuration Determination of Allenic Natural Products Using C=C=C Stretching VCD Signal
Org. Biomol. Chem. 2023, Accepted
また、Highlighted Paper selected by Editor-in-Chiefに選出されました!
Model Synthetic Study of Tutin, a Picrotoxane-type Sesquiterepene: Stereoselective Construction of a cis-Fused 5,6-Ring Skeleton
Chem. Pharm. Bull. 2022, 70, 435.
【リンク】
Biomimetic Total Syntheses of (+)-Chloropupukeananin, (−)-Chloropupukeanolide D, and Chloropestolides
J. Org. Chem. 2021, ASAP
研究題目:ハイブリッド天然物の合成を志向した糖含有化合物とテルペノイドの合成研究
【PDF】
Development of a mugineic acid family phytosiderophore analog as an iron fertilizer 【リンク】
北海道大学よりプレスリリースが発信されています。【こちら】
【リンク】
Chemical Synthesis of Brasilicardins
Yoshimura, F.; Ito, R.;Torizuka, M.; Mori, G.; Tanino, K.
有機合成化学協会誌, 2020, 78, 1085.
Hatching stimulation activity of steroidal glycoalkaloids toward the potato cyst nematode, Globodera rostochiensis
Shimizu, K.; Kushida, A.;Akiyama, R.; Lee, H. J.; Okamura, Y.; Masuda, Y.; Sakata, I.; Tanino, K.; Matsukida, S.; Inoue, T.; Sugimoto, Y.; Mizutani, M.
Plant Biotechnology 2020, 37, 319.
ありがとうございました。
ありがとうございました。
Formal Total Synthesis of Atropurpuran
J. Org. Chem. 2020, 85, 10125.
First Total Synthesis of Neostrictinin
Ikeuchi, K.; Ueji, T.; Matsumoto, S.; Wakamori, S.; Yamada, H.
Euro. J. Org. Chem. 2020, early view.
ありがとうございました。【写真】
ありがとうございました。【写真】
ありがとうございました。【写真】
ありがとうございました。【写真】
ありがとうございました。【写真】
ありがとうございました。【写真】
ありがとうございました。【写真】
ありがとうございました。【写真】
ありがとうございました。【写真】
ありがとうございました。【写真】
ありがとうございました。【写真】
ありがとうございました。【写真】
ありがとうございました。【写真】
ありがとうございました。
プレスリリース内容はコチラから
Synfacts. 2019, 15(04), 0340.
Synfacts. 2019, 15 (01), 0013.
ありがとうございました。【写真】
ありがとうございました。【写真】
ありがとうございました。【写真】
ありがとうございました。【写真】
ありがとうございました。【写真】
ありがとうございました。【写真】
ありがとうございました。【写真】
ありがとうございました。【写真】
ありがとうございました。【写真】
ありがとうございました。【写真】
(伊東君)
ありがとうございました。【写真】
ありがとうございました。【写真】
ありがとうございました。【写真】
ありがとうございました。【写真】
ありがとうございました。【写真】
ありがとうございました。【写真】
ありがとうございました。【写真】
ありがとうございました。【写真】
ありがとうございました。【写真】
おめでとうございます!!!【写真】
ありがとうございました。【写真】
ありがとうございました。【写真】
ありがとうございました。【写真】
ありがとうございました。【写真】
ありがとうございました!!!!!!【写真】
ありがとうございました。【写真】
ありがとうございました。【写真】
ありがとうございました。【写真】
ありがとうございました。【写真】
ありがとうございました。【写真】
ありがとうございました。【写真】
ありがとうございました。【写真】
ありがとうございました。【写真】
ありがとうございました!!!!!!【写真】
ありがとうございました。【写真】
ありがとうございました。【写真】
ありがとうございました。
ありがとうございました。
ありがとうございました。【写真】
ありがとうございました。【写真】
ありがとうございました。
ありがとうございました。【写真】
ありがとうございました。【写真】
ありがとうございました。【写真】
ありがとうございました。【写真】
ありがとうございました。【写真】
ありがとうございました。【写真】
ありがとうございました。【写真】
ありがとうございました。【写真】
ありがとうございました。【写真】
(堀口君、土門君、行武君)
ありがとうございました。【写真】
ありがとうございました。【写真】
土門大祐)
ありがとうございました。【写真】
ありがとうございました。【写真】
ありがとうございました。【写真】
ありがとうございました。【写真】
(伊東君)
ありがとうございました。【写真】
ありがとうございました。【写真】
ありがとうございました。【写真】
ありがとうございました。【写真】
ありがとうございました。【写真】
ありがとうございました。【写真】
ありがとうございました。【写真】
ありがとうございました。【写真】
ありがとうございました。【写真】
ありがとうございました。【写真】
ありがとうございました。【写真】
(伊東君、山賀君、渡邊君)
伊東龍生)
ありがとうございました。【写真】
ありがとうございました。【写真】
ありがとうございました。【写真】
ありがとうございました。【写真】
ありがとうございました。
(土門君)
ありがとうございました。【写真】
(畑ケ君)
ありがとうございました。【写真】
ありがとうございました。【写真】
金木様よりモロゾフ 焼菓子詰め合わせをいただきました。
ありがとうございました。【写真】
ありがとうございました。【写真】
ありがとうございました。【写真】
ありがとうございました。【写真】
ありがとうございました。【写真】
ありがとうございました。【写真】
ありがとうございました。【写真】
ありがとうございました。【写真】
ありがとうございました。【写真】
ありがとうございました。【写真】
ありがとうございました。【写真】
ありがとうございました。【写真】
ありがとうございました。
ありがとうございました。
ありがとうございました。
(阿部君)
(竹内君)
土門大祐)
(岩倉君、土門君、中西君)
(阿部君)
(岩倉君、竹内君、阿部君、伊東君、岡田君、土門君)
学生講演賞” を受賞しました。 【詳細】
「アザジラクチンの全合成研究」(櫻井 健太朗)
「パラウアミンの全合成研究」(竹内 公平)
「四級不斉炭素の立体選択的構築法の開発と天然物全合成への展開」
【詳細】
【難波研究室ホームページ】
「α-シアノカルバニオンの付加反応を基軸とする四級不斉炭素構築法の開発と天然物合成」【詳細】
「新しい縮環骨格構築法を基盤とする高次構造天然物の全合成」 【詳細】
(January 2013)に紹介されました。
受賞しました。
(機能性蛍光分子トリアザペンタレンの開発と応用(北大院総合化学)
大澤歩)
(大澤君、岩倉君、竹内君、北島君、西田君)
ありがとうございます!!
今年も一年間おつかれさまでした。
北海道大学 大学院総合化学院 総合化学専攻


